辽宁石油化工大学学报 ›› 2026, Vol. 46 ›› Issue (2): 1-13.DOI: 10.12422/j.issn.1672-6952.2026.02.001
于倩男1,2(
), 叶磊1, 康瑾琪1, 梁志培1, 赵莹1, 唐慧敏3(
), JIE Yuan2
收稿日期:2025-06-09
修回日期:2025-08-26
出版日期:2026-04-25
发布日期:2026-04-21
通讯作者:
唐慧敏
作者简介:于倩男(1987-),男,博士,副教授,从事天然气水合物开采与利用方面的研究;E⁃mail: yuqn@gdupt.edu.cn。
基金资助:
Qiannan YU1,2(
), Lei YE1, Jinqi KANG1, Zhipei LIANG1, Ying ZHAO1, Huimin TANG3(
), Yuan JIE2
Received:2025-06-09
Revised:2025-08-26
Published:2026-04-25
Online:2026-04-21
Contact:
Huimin TANG
摘要:
针对天然气水合物开采中沉积体系分子模拟的技术瓶颈,梳理含水合物沉积物体系分子模拟势函数研究进展,分析单相体系势函数优化、多相界面参数修正及机器学习融合方法的演进,揭示了势函数参数化策略对水合物沉积物多物理场模拟精度的调控机制。当前势函数在极端温压条件适应性、多相参数兼容性、计算效率与精度平衡及实验验证等方面仍存在挑战。未来应聚焦开发极端环境适配的多相势函数体系,构建传统力场与机器学习势融合的多物理场耦合模型,建立实验⁃模拟协同验证框架,为水合物的安全开采提供从原子机制到储层响应的多尺度理论支撑。
中图分类号:
于倩男, 叶磊, 康瑾琪, 梁志培, 赵莹, 唐慧敏, JIE Yuan. 含水合物沉积物体系分子模拟势函数的发展与应用[J]. 辽宁石油化工大学学报, 2026, 46(2): 1-13.
Qiannan YU, Lei YE, Jinqi KANG, Zhipei LIANG, Ying ZHAO, Huimin TANG, Yuan JIE. Development and Application of Molecular Force Fields for Natural Gas Hydrate⁃Bearing Sediment Systems[J]. Journal of Liaoning Petrochemical University, 2026, 46(2): 1-13.
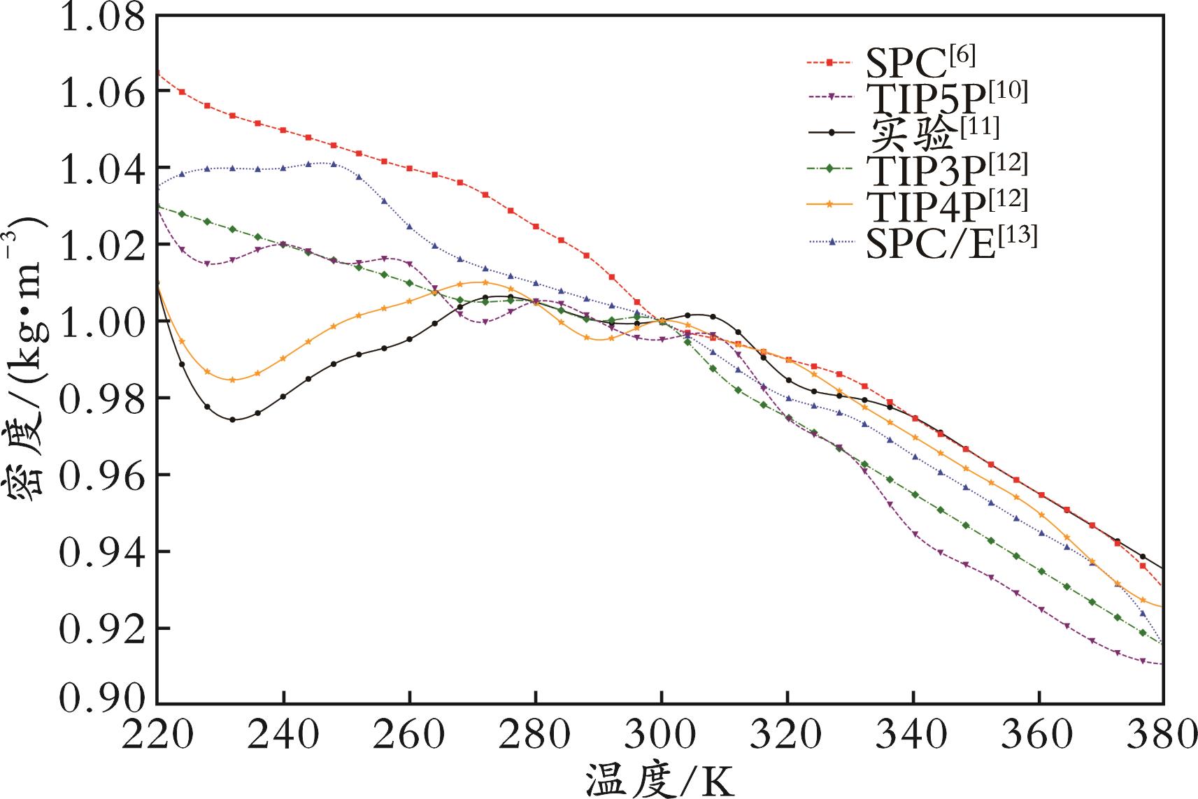
图2 常用水势函数模型模拟所得径向分布函数与实验测得径向分布函数的对比结果(a) gOO (b) gOH (c) gHH
Fig.2 Comparison results between the radial distribution functions obtained from the simulation of common water potential functions and the experimental radial distribution functions
力场 类型 | 开发团队 | 核心参数 | 模拟精度 | 适用场景 |
|---|---|---|---|---|
| SPC | H.J.C.BERENDSEN等[ | 刚性结构;L⁃J势 | 自扩散系数相对误差200%~300% | 液态水基础模拟 |
| SPC/E | H.J.C.BERENDSEN等[ | 全局能量修正;极化效应 优化 | 自扩散系数相对误差20%~50%; 密度相对误差2.8% | 水合物⁃水界面 润湿性及离子输运 |
| TIP3P | W.L.JORGENSEN等[ | 刚性结构;L⁃J势 | 密度相对误差>5%;gOO峰位偏移至2.77 Å | 生物分子体系模拟 |
| TIP4P | W.L.JORGENSEN等[ | 虚拟电荷点;键角优化 | gOH峰位相对误差<0.6%;自扩散 系数相对误差15% | 界面润湿性模拟 |
| TIP5P | M.W.MAHONEY等[ | 双虚拟电荷点;四极矩 优化 | 相变焓绝对误差<1 kJ/mol | 相变过程及热力学 性质预测 |
表1 水势函数性能对比
Table 1 Performance comparison of water potential functions
力场 类型 | 开发团队 | 核心参数 | 模拟精度 | 适用场景 |
|---|---|---|---|---|
| SPC | H.J.C.BERENDSEN等[ | 刚性结构;L⁃J势 | 自扩散系数相对误差200%~300% | 液态水基础模拟 |
| SPC/E | H.J.C.BERENDSEN等[ | 全局能量修正;极化效应 优化 | 自扩散系数相对误差20%~50%; 密度相对误差2.8% | 水合物⁃水界面 润湿性及离子输运 |
| TIP3P | W.L.JORGENSEN等[ | 刚性结构;L⁃J势 | 密度相对误差>5%;gOO峰位偏移至2.77 Å | 生物分子体系模拟 |
| TIP4P | W.L.JORGENSEN等[ | 虚拟电荷点;键角优化 | gOH峰位相对误差<0.6%;自扩散 系数相对误差15% | 界面润湿性模拟 |
| TIP5P | M.W.MAHONEY等[ | 双虚拟电荷点;四极矩 优化 | 相变焓绝对误差<1 kJ/mol | 相变过程及热力学 性质预测 |
| 力场类型 | 开发团队 | 核心参数 | 模拟精度 | 适用场景 |
|---|---|---|---|---|
| CLAYFF | R.T.CYGAN等[ | 非键势 | 层间距绝对误差0.08 Å | 多矿物动态响应 |
| Teppen | B.J.TEPPEN等[ | 键合势 | 层间吸附能相对误差15% | 单一矿物静态结构 |
| Interface⁃FF | H.HEINZ等[ | 极化电荷模型 | 界面结合能相对误差5% | 黏土⁃有机物复合体系 |
| UFF | A.MOSAVI等[ | 全原子参数 | 密度相对误差8% | 多相体系快速评估 |
表2 黏土矿物势函数性能对比
Table 2 Performance comparison of clay mineral potential functions
| 力场类型 | 开发团队 | 核心参数 | 模拟精度 | 适用场景 |
|---|---|---|---|---|
| CLAYFF | R.T.CYGAN等[ | 非键势 | 层间距绝对误差0.08 Å | 多矿物动态响应 |
| Teppen | B.J.TEPPEN等[ | 键合势 | 层间吸附能相对误差15% | 单一矿物静态结构 |
| Interface⁃FF | H.HEINZ等[ | 极化电荷模型 | 界面结合能相对误差5% | 黏土⁃有机物复合体系 |
| UFF | A.MOSAVI等[ | 全原子参数 | 密度相对误差8% | 多相体系快速评估 |
| 力场类型 | 开发团队 | 核心参数 | 模拟精度 | 适用场景 |
|---|---|---|---|---|
| COMPASS | H.SUN等[ | 混合键合势;L⁃J势;库仑作用 | 界面吸附能相对误差<5% | 界面吸附/弹性响应 |
| Tersoff | J.TERSOFF等[ | 键序因子;多体效应修正 | 体相力学相对误差<8%; 高压相变偏差>10% | 体相力学/相变动力学 |
表3 石英矿物势函数性能对比
Table 3 Performance comparison of quartz potential functions
| 力场类型 | 开发团队 | 核心参数 | 模拟精度 | 适用场景 |
|---|---|---|---|---|
| COMPASS | H.SUN等[ | 混合键合势;L⁃J势;库仑作用 | 界面吸附能相对误差<5% | 界面吸附/弹性响应 |
| Tersoff | J.TERSOFF等[ | 键序因子;多体效应修正 | 体相力学相对误差<8%; 高压相变偏差>10% | 体相力学/相变动力学 |
| 力场类型 | 开发团队 | 核心参数 | 模拟精度 | 适用场景 |
|---|---|---|---|---|
| TIP4P/ICE | J.L.F.ABASCAL等[ | 虚点电荷模型 | 密度相对误差0.8%;高压水合物相变温度绝对误差<1.0 K | 高压水合物、冰相变动力学 |
| OPC | S.IZADI等[ | 三电荷四位点; 电多极矩优化 | 冰密度相对误差<0.5%;低压相变温度绝对误差<0.5 K | 低压水合物、界面 润湿性模拟 |
表4 固相水势函数性能对比
Table 4 Performance comparison of solid water potential functions
| 力场类型 | 开发团队 | 核心参数 | 模拟精度 | 适用场景 |
|---|---|---|---|---|
| TIP4P/ICE | J.L.F.ABASCAL等[ | 虚点电荷模型 | 密度相对误差0.8%;高压水合物相变温度绝对误差<1.0 K | 高压水合物、冰相变动力学 |
| OPC | S.IZADI等[ | 三电荷四位点; 电多极矩优化 | 冰密度相对误差<0.5%;低压相变温度绝对误差<0.5 K | 低压水合物、界面 润湿性模拟 |
| 力场类型 | 开发团队 | 核心参数 | 模拟精度 | 适用场景 |
|---|---|---|---|---|
| OPLS⁃AA | W.L.JORGENSEN等[ | 全原子模型;键伸缩;L⁃J势;电荷 | 界面吸附能相对误差<5% | 多相体系热力学平衡、界面极化效应模拟 |
| TRAPPE⁃UA | M.G.MARTIN等[ | 联合原子模型;L⁃J势;固定电荷 | 气液共存曲线绝对误差<2 K; 孔隙吸附等温线相对误差<3% | 甲烷相变动力学、快速吸附评估 |
表5 甲烷势函数性能对比
Table 5 Performance comparison of methane potential functions
| 力场类型 | 开发团队 | 核心参数 | 模拟精度 | 适用场景 |
|---|---|---|---|---|
| OPLS⁃AA | W.L.JORGENSEN等[ | 全原子模型;键伸缩;L⁃J势;电荷 | 界面吸附能相对误差<5% | 多相体系热力学平衡、界面极化效应模拟 |
| TRAPPE⁃UA | M.G.MARTIN等[ | 联合原子模型;L⁃J势;固定电荷 | 气液共存曲线绝对误差<2 K; 孔隙吸附等温线相对误差<3% | 甲烷相变动力学、快速吸附评估 |
应用 场景 | 研究体系 | 研究团队 | 力场组合 | 核心参数/现象 | 主要发现/局限性 |
|---|---|---|---|---|---|
水力压裂 过程模拟 | 高岭石⁃无定形二氧化硅⁃水体系 | M.R.WARNE等[ | AMBER+TIP3P+OPLS | 羟基氢键网络密集,导致水分子弛豫时间差异;自扩散系数降低15%~20% | 自扩散系数变化与实验一致;未考虑矿物表面 化学修饰影响 |
润湿性调控 机制解析 | 石英⁃水界面 润湿性 | R.NOTMAN等[ | CHARMM+TIP3P | 双层结构水厚度1.2 nm;疏水基团嵌入表面孔隙 降低界面能 | 氢键寿命延长验证界面稳定性;高压相变行为 模拟偏差未评估 |
| 钠蒙脱土润湿动力学 | 钠蒙脱土⁃ 纳米水滴 体系 | Y.ZHENG等[ | TIP4P+SPC/E | 液滴氧原子密度峰位3.5~4.0 Å;Na⁺吸附量随液滴尺寸增大而增加 | 接触角25°与实验一致;未分析表面粗糙度对 润湿性的影响 |
孔隙输运 机制研究 | 高岭石裂隙⁃ 甲醇/柠檬酸 溶液体系 | K.D.PAPAVASILEIOU等[ | CLAYFF+SPC/E+GAFF | Cs⁺扩散系数0.8×10⁻⁹ m²/s;有机添加剂对 水分布无影响 | 离子迁移主导输运;未 量化孔隙尺寸对吸附 行为的动态影响 |
蒙脱土⁃ 盐水热力学 分析 | 钠蒙脱土⁃NaCl溶液体系 | M.SVOBODA等[ | CLAYFF+SPC/E | 双电层宽度4 Å;氢键 密度0.6 Ų;界面水自 扩散系数降低25% | 电荷密度分布与实验 吻合;未扩展至多价离子体系模拟 |
矿物润湿性 定量表征 | α⁃石英/正长石/白云母⁃水体系 | C.ZHANG等[ | CLAYFF+SPC/E | 接触角相对误差<10% | 验证界面能精度;未考虑温度梯度对接触角的 影响 |
高岭石表面 水化机制 | 高岭石⁃水 界面水化 | J.CHEN等[ | CLAYFF+SPC/E | 氢键密度1.2 Ų→ 0.5 Ų;水化膜厚度 8~10 Å | 揭示水化动态平衡机制;未模拟高压下水化膜 破裂行为 |
叶蜡石多 尺度润湿性 | 叶蜡石 基面/边缘⁃水体系 | D.M.S.MARTINS等[ | CLAYFF+SPC/E | 基面疏水;边缘羟基化 表面亲水;悬挂键与未配位Al原子驱动界面作用 | 揭示纳米颗粒润湿性多态性;未量化边缘表面羟基密度对吸附能的贡献 |
表6 固相与液相混合体系的势函数应用
Table 6 Potential function applications in solid?liquid mixed systems
应用 场景 | 研究体系 | 研究团队 | 力场组合 | 核心参数/现象 | 主要发现/局限性 |
|---|---|---|---|---|---|
水力压裂 过程模拟 | 高岭石⁃无定形二氧化硅⁃水体系 | M.R.WARNE等[ | AMBER+TIP3P+OPLS | 羟基氢键网络密集,导致水分子弛豫时间差异;自扩散系数降低15%~20% | 自扩散系数变化与实验一致;未考虑矿物表面 化学修饰影响 |
润湿性调控 机制解析 | 石英⁃水界面 润湿性 | R.NOTMAN等[ | CHARMM+TIP3P | 双层结构水厚度1.2 nm;疏水基团嵌入表面孔隙 降低界面能 | 氢键寿命延长验证界面稳定性;高压相变行为 模拟偏差未评估 |
| 钠蒙脱土润湿动力学 | 钠蒙脱土⁃ 纳米水滴 体系 | Y.ZHENG等[ | TIP4P+SPC/E | 液滴氧原子密度峰位3.5~4.0 Å;Na⁺吸附量随液滴尺寸增大而增加 | 接触角25°与实验一致;未分析表面粗糙度对 润湿性的影响 |
孔隙输运 机制研究 | 高岭石裂隙⁃ 甲醇/柠檬酸 溶液体系 | K.D.PAPAVASILEIOU等[ | CLAYFF+SPC/E+GAFF | Cs⁺扩散系数0.8×10⁻⁹ m²/s;有机添加剂对 水分布无影响 | 离子迁移主导输运;未 量化孔隙尺寸对吸附 行为的动态影响 |
蒙脱土⁃ 盐水热力学 分析 | 钠蒙脱土⁃NaCl溶液体系 | M.SVOBODA等[ | CLAYFF+SPC/E | 双电层宽度4 Å;氢键 密度0.6 Ų;界面水自 扩散系数降低25% | 电荷密度分布与实验 吻合;未扩展至多价离子体系模拟 |
矿物润湿性 定量表征 | α⁃石英/正长石/白云母⁃水体系 | C.ZHANG等[ | CLAYFF+SPC/E | 接触角相对误差<10% | 验证界面能精度;未考虑温度梯度对接触角的 影响 |
高岭石表面 水化机制 | 高岭石⁃水 界面水化 | J.CHEN等[ | CLAYFF+SPC/E | 氢键密度1.2 Ų→ 0.5 Ų;水化膜厚度 8~10 Å | 揭示水化动态平衡机制;未模拟高压下水化膜 破裂行为 |
叶蜡石多 尺度润湿性 | 叶蜡石 基面/边缘⁃水体系 | D.M.S.MARTINS等[ | CLAYFF+SPC/E | 基面疏水;边缘羟基化 表面亲水;悬挂键与未配位Al原子驱动界面作用 | 揭示纳米颗粒润湿性多态性;未量化边缘表面羟基密度对吸附能的贡献 |
| 应用场景 | 研究体系 | 研究团队 | 力场组合 | 核心参数/现象 | 主要发现/局限性 |
|---|---|---|---|---|---|
石英孔隙 吸附机制 | 石英⁃甲烷体系 | J.F.ZHAO等[ | TRAPPE+GCMC+MD+DFT | 吸附层厚度5 Å,吸附能-15~-10 kJ/mol;Langmuir型吸附等温线 | 揭示物理吸附主导机制;未考虑表面 化学修饰影响 |
石英微孔 扩散特性 | 石英微孔⁃甲烷体系 | L.L.YANG等[ | COMPASS | 压力为20 MPa时吸附量降幅40%;温度/孔径增大吸附量提升30% | 优化压力⁃温度协同策略;未涵盖多组分竞争吸附效应 |
黏土矿物 吸附能梯度 | 石英/高岭石⁃ 甲烷界面 | A.T.ONAWOLE等[ | ReaxFF | 吸附能梯度下降 | 覆盖效应主导吸附衰减;未扩展至 有机质体系 |
| 黏土矿物异质界面吸附 | 蒙脱土⁃石墨烯⁃甲烷体系 | C.CHEN等[ | TRAPPE+Heinz | 相较于蒙脱土,石墨烯表面甲烷吸附密度提高15% | 异质界面吸附动态表征;未量化表面粗糙度影响 |
| 蒙脱石⁃水⁃甲烷扩散 | 蒙脱石⁃水⁃甲烷体系 | H.X.HU等[ | OPLS+CLAYFF | Fick扩散系数为(0.5~2.0)×10⁻⁹ m²/s;含水量>30%时抑制扩散;温度为350 K时扩散速率提升25% | 量化扩散动力学;未研究高压极端条件 |
石英吸附 压力阈值 | 石英⁃甲烷体系 | 李田田[ | COMPASS | 压力阈值15 MPa;低于阈值吸附量快速上升,高于阈值增速放缓 | 揭示吸附位点饱和机制;未分析温度梯度影响 |
| 多黏土矿物吸附对比 | 高岭石/蒙脱石/伊利石/绿泥石 | 熊健[ | DREIDING+TRAPPE+SPC/E | 温度350 K吸附容量降30%;含水量20%吸附 容量降40% | 多矿物吸附协同调控;未耦合多物理场 |
表7 气?固混合体系的势函数应用
Table 7 Potential function applications in solid?gas mixed systems
| 应用场景 | 研究体系 | 研究团队 | 力场组合 | 核心参数/现象 | 主要发现/局限性 |
|---|---|---|---|---|---|
石英孔隙 吸附机制 | 石英⁃甲烷体系 | J.F.ZHAO等[ | TRAPPE+GCMC+MD+DFT | 吸附层厚度5 Å,吸附能-15~-10 kJ/mol;Langmuir型吸附等温线 | 揭示物理吸附主导机制;未考虑表面 化学修饰影响 |
石英微孔 扩散特性 | 石英微孔⁃甲烷体系 | L.L.YANG等[ | COMPASS | 压力为20 MPa时吸附量降幅40%;温度/孔径增大吸附量提升30% | 优化压力⁃温度协同策略;未涵盖多组分竞争吸附效应 |
黏土矿物 吸附能梯度 | 石英/高岭石⁃ 甲烷界面 | A.T.ONAWOLE等[ | ReaxFF | 吸附能梯度下降 | 覆盖效应主导吸附衰减;未扩展至 有机质体系 |
| 黏土矿物异质界面吸附 | 蒙脱土⁃石墨烯⁃甲烷体系 | C.CHEN等[ | TRAPPE+Heinz | 相较于蒙脱土,石墨烯表面甲烷吸附密度提高15% | 异质界面吸附动态表征;未量化表面粗糙度影响 |
| 蒙脱石⁃水⁃甲烷扩散 | 蒙脱石⁃水⁃甲烷体系 | H.X.HU等[ | OPLS+CLAYFF | Fick扩散系数为(0.5~2.0)×10⁻⁹ m²/s;含水量>30%时抑制扩散;温度为350 K时扩散速率提升25% | 量化扩散动力学;未研究高压极端条件 |
石英吸附 压力阈值 | 石英⁃甲烷体系 | 李田田[ | COMPASS | 压力阈值15 MPa;低于阈值吸附量快速上升,高于阈值增速放缓 | 揭示吸附位点饱和机制;未分析温度梯度影响 |
| 多黏土矿物吸附对比 | 高岭石/蒙脱石/伊利石/绿泥石 | 熊健[ | DREIDING+TRAPPE+SPC/E | 温度350 K吸附容量降30%;含水量20%吸附 容量降40% | 多矿物吸附协同调控;未耦合多物理场 |
| 应用场景 | 研究体系 | 研究团队 | 力场组合 | 核心参数/现象 | 主要发现/局限性 |
|---|---|---|---|---|---|
水合物 成核机制 | 水合物成核过程 | M.R.WALSH等[ | TIP4P/ICE+OPLS⁃UA | BLOB两步成核:无序团簇向晶态转变;非晶态团簇稳定性分析 | 揭示成核路径;未量化温度梯度对自由能势垒的影响 |
水合物 生长行为 | CO₂–CH₄混合 水合物 | L.Z.YI等[ | TIP4P+TraPPE | CO₂优先占据大笼,CH₄ 优先占据小笼 | 揭示界面交换机制;未考虑 压力对笼占有率的动态影响 |
抑制剂 影响评估 | NaCl⁃甲烷水合物体系 | 刘杨[ | TIP4P/ICE+OPLS⁃UA | NaCl抑制生长速率40%;高压抑制效果减弱 | 量化抑制剂效应;未研究 抑制剂浓度梯度的影响 |
水合物 生长 | CH4/C3H8⁃水合物体系 | 陈勇[ | SPC/E+OPLS | 甲烷选择性占据512型笼;液相浓度波动驱动结晶 | 揭示尺寸筛分效应;未考虑 笼形结构动态重构 |
| 混合水合物成核 | CH4/CO2混合 水合物体系 | Z.J.HE等[ | TIP4P/ICE+OPLS⁃UA | 生长分快速、缓慢两阶段 | 验证混合体系生长动力学; 未研究多组分竞争效应 |
| 笼形结构选择性 | C2H6/CH4、C3H8/CH4混合体系 | Z.C.ZHANG等[ | TIP4P/ICE+OPLS⁃UA | 小分子促进512型笼形成;乙烷诱导时间最短 | 揭示笼型占比偏向性;未考虑高压下非标准笼形畸变 |
| 气⁃水界面作用 | 甲烷⁃水界面 体系 | B.KVAMME[ | OPLS+ SPC/E | 界面张力误差小;单点OPLS甲烷模型适配性 验证 | 界面特性精确表征;未扩展至多相耦合体系 |
| 水合物分解动力学 | 水合物⁃气液 界面体系 | 刘昀晔[ | SPC/E+OPLS | 分解后气水界面张力驱动气液集聚;壁面束缚水膜厚度1 nm | 揭示分解机制;未模拟多孔 介质中毛细管效应的影响 |
表8 气?液混合体系的势函数应用
Table 8 Potential function applications in gas?liquid mixed systems
| 应用场景 | 研究体系 | 研究团队 | 力场组合 | 核心参数/现象 | 主要发现/局限性 |
|---|---|---|---|---|---|
水合物 成核机制 | 水合物成核过程 | M.R.WALSH等[ | TIP4P/ICE+OPLS⁃UA | BLOB两步成核:无序团簇向晶态转变;非晶态团簇稳定性分析 | 揭示成核路径;未量化温度梯度对自由能势垒的影响 |
水合物 生长行为 | CO₂–CH₄混合 水合物 | L.Z.YI等[ | TIP4P+TraPPE | CO₂优先占据大笼,CH₄ 优先占据小笼 | 揭示界面交换机制;未考虑 压力对笼占有率的动态影响 |
抑制剂 影响评估 | NaCl⁃甲烷水合物体系 | 刘杨[ | TIP4P/ICE+OPLS⁃UA | NaCl抑制生长速率40%;高压抑制效果减弱 | 量化抑制剂效应;未研究 抑制剂浓度梯度的影响 |
水合物 生长 | CH4/C3H8⁃水合物体系 | 陈勇[ | SPC/E+OPLS | 甲烷选择性占据512型笼;液相浓度波动驱动结晶 | 揭示尺寸筛分效应;未考虑 笼形结构动态重构 |
| 混合水合物成核 | CH4/CO2混合 水合物体系 | Z.J.HE等[ | TIP4P/ICE+OPLS⁃UA | 生长分快速、缓慢两阶段 | 验证混合体系生长动力学; 未研究多组分竞争效应 |
| 笼形结构选择性 | C2H6/CH4、C3H8/CH4混合体系 | Z.C.ZHANG等[ | TIP4P/ICE+OPLS⁃UA | 小分子促进512型笼形成;乙烷诱导时间最短 | 揭示笼型占比偏向性;未考虑高压下非标准笼形畸变 |
| 气⁃水界面作用 | 甲烷⁃水界面 体系 | B.KVAMME[ | OPLS+ SPC/E | 界面张力误差小;单点OPLS甲烷模型适配性 验证 | 界面特性精确表征;未扩展至多相耦合体系 |
| 水合物分解动力学 | 水合物⁃气液 界面体系 | 刘昀晔[ | SPC/E+OPLS | 分解后气水界面张力驱动气液集聚;壁面束缚水膜厚度1 nm | 揭示分解机制;未模拟多孔 介质中毛细管效应的影响 |
| 应用场景 | 研究体系 | 研究团队 | 力场组合 | 核心参数/现象 | 主要发现/局限性 |
|---|---|---|---|---|---|
页岩气 吸附参考研究 | 石英孔隙⁃甲烷/ 水体系 | J.XIONG等[ | L⁃J势+TRAPPE+SPC/E | 孔径增大,吸附容量 增加;表面含水抑制甲烷吸附容量约40% | 未研究多组分竞争 吸附对储层渗透率的综合影响 |
| 甲烷吸附行为 | 水⁃甲烷⁃修饰 石英狭缝体系 | 焦红岩等[ | COMPASS | 润湿性临界点;水/固相互作用主导吸附构型 | 未考虑表面动态重构 |
| 水合物成核与生长 | 多孔沉积物⁃甲烷水合物体系 | K.F.YAN等[ | TIP4P+OPLS⁃AA+CLAYFF | 黏土羟基化边缘促进成核速率提升25%;孔隙传质与结晶协同效应 | 未量化孔隙尺寸分布对成核位点的影响 |
水合物 力学行为 | 二氧化硅/高岭石/蒙脱土⁃水合物 体系 | 曹品强[ | TIP4P/ICE+OPLS+CLAYFF | 沿晶脆性断裂主导破坏模式;残留水桥结构导致拉伸应力集中 | 未模拟多孔介质中毛细管效应对力学性能的影响 |
非均相 成核行为 | SiO2/高岭石⁃ 甲烷水合物 体系 | Y.LI等[ | TIP4P/ICE+OPLS+CLAYFF | 疏水型SiO2表面水分子呈四面体有序排列,成核效率提升15%;高岭石 表面呈层状堆积 | 未研究表面粗糙度对成核动力学的调控 作用 |
| 水合物分解动力学 | 石英孔隙⁃甲烷水合物体系 | X.ZHENG等[ | 优化石英⁃水界面力场+TIP4P/ICE+OPLS | 分解呈逐层缩核模式,速率较体相快;温度每升高10 K,速率提升20% | 未考虑孔隙润湿性对分解路径差异化的 影响 |
| 海洋环境影响分析 | 黏土纳米孔⁃ 甲烷水合物 体系 | F.Y.MI等[ | TIP4P/ICE+OPLS+CLAYFF | 高盐度抑制甲烷扩散; 高压促进传质 | 未量化多离子共存 体系的竞争吸附效应 |
| 分解方法对比研究 | 热激/抑制剂/电场⁃水合物 体系 | 张颖龙[ | TIP4P/ICE+OPLS+CLAYFF | 醇类抑制剂降低分解能垒;定向破坏氢键网络,键能衰减 | 未模拟实际储层中多物理场耦合效应 |
表9 固?气?液混合体系的势函数应用
Table 9 Potential function applications in solid?gas?liquid mixed systems
| 应用场景 | 研究体系 | 研究团队 | 力场组合 | 核心参数/现象 | 主要发现/局限性 |
|---|---|---|---|---|---|
页岩气 吸附参考研究 | 石英孔隙⁃甲烷/ 水体系 | J.XIONG等[ | L⁃J势+TRAPPE+SPC/E | 孔径增大,吸附容量 增加;表面含水抑制甲烷吸附容量约40% | 未研究多组分竞争 吸附对储层渗透率的综合影响 |
| 甲烷吸附行为 | 水⁃甲烷⁃修饰 石英狭缝体系 | 焦红岩等[ | COMPASS | 润湿性临界点;水/固相互作用主导吸附构型 | 未考虑表面动态重构 |
| 水合物成核与生长 | 多孔沉积物⁃甲烷水合物体系 | K.F.YAN等[ | TIP4P+OPLS⁃AA+CLAYFF | 黏土羟基化边缘促进成核速率提升25%;孔隙传质与结晶协同效应 | 未量化孔隙尺寸分布对成核位点的影响 |
水合物 力学行为 | 二氧化硅/高岭石/蒙脱土⁃水合物 体系 | 曹品强[ | TIP4P/ICE+OPLS+CLAYFF | 沿晶脆性断裂主导破坏模式;残留水桥结构导致拉伸应力集中 | 未模拟多孔介质中毛细管效应对力学性能的影响 |
非均相 成核行为 | SiO2/高岭石⁃ 甲烷水合物 体系 | Y.LI等[ | TIP4P/ICE+OPLS+CLAYFF | 疏水型SiO2表面水分子呈四面体有序排列,成核效率提升15%;高岭石 表面呈层状堆积 | 未研究表面粗糙度对成核动力学的调控 作用 |
| 水合物分解动力学 | 石英孔隙⁃甲烷水合物体系 | X.ZHENG等[ | 优化石英⁃水界面力场+TIP4P/ICE+OPLS | 分解呈逐层缩核模式,速率较体相快;温度每升高10 K,速率提升20% | 未考虑孔隙润湿性对分解路径差异化的 影响 |
| 海洋环境影响分析 | 黏土纳米孔⁃ 甲烷水合物 体系 | F.Y.MI等[ | TIP4P/ICE+OPLS+CLAYFF | 高盐度抑制甲烷扩散; 高压促进传质 | 未量化多离子共存 体系的竞争吸附效应 |
| 分解方法对比研究 | 热激/抑制剂/电场⁃水合物 体系 | 张颖龙[ | TIP4P/ICE+OPLS+CLAYFF | 醇类抑制剂降低分解能垒;定向破坏氢键网络,键能衰减 | 未模拟实际储层中多物理场耦合效应 |
| [1] | YU Y S, ZHANG X W, LIU J W, et al. Natural gas hydrate resources and hydrate technologies: A review and analysis of the associated energy and global warming challenges[J]. Energy & Environmental Science, 2021, 14(11): 5611⁃5668. |
| [2] | 张少冬, 夏宇, 张志兴, 等. 气体水合物分子动力学模拟研究进展[J]. 低碳化学与化工, 2025, 50(2): 137⁃147. |
| ZHANG S D,XIA Y,ZHANG Z X,et al.Research progress on molecular dynamics simulations of gas hydrates[J].Low⁃Carbon Chemistry and Chemical Engineering, 2025, 50(2): 137⁃147. | |
| [3] | FRENKEL D, SMIT B. Understanding molecular simulation: From algorithms to applications[M]. 2nd ed. San Diego: Academic Press, 2002. |
| [4] | TUCKERMAN M E. Statistical mechanics: Theory and molecular simulation[M]. 2nd ed. Oxford: Oxford University Press, 2010. |
| [5] | DELHOMMELLE J, MILLIÉ P. Inadequacy of the lorentz⁃berthelot combining rules for accurate predictions of equilibrium properties by molecular simulation[J]. Molecular Physics, 2001, 99(8): 619⁃625. |
| [6] | BERENDSEN H J C, POSTMA J P M, GUNSTEREN W F V, et al. Interaction models for water in relation to protein hydration in Intermolecular forces[M]. Dordrecht: Springer Netherlands, 1981. |
| [7] | BERENDSEN H J C, GRIGERA J R, STRAATSMA T P. The missing term in effective pair potentials[J]. Journal of Physical Chemistry, 1987, 91(24): 6269⁃6271. |
| [8] | JORGENSEN W L, CHANDRASEKHAR J, MADURA J D, et al. Comparison of simple potential functions for simulating liquid water[J]. The Journal of Chemical Physics, 1983, 79(2): 926⁃935. |
| [9] | JORGENSEN W L, MADURA J D. Temperature and size dependence for monte carlo simulations of TIP4P water[J]. Molecular Physics, 1985, 56(6): 1381⁃1392. |
| [10] | MAHONEY M W, JORGENSEN W L. A five⁃site model for liquid water and the reproduction of the density anomaly by rigid, nonpolarizable potential functions[J]. The Journal of Chemical Physics, 2000, 112(20): 8910⁃8922. |
| [11] | KELL G S, WHALLEY E. Reanalysis of the density of liquid water in the range 0-150 ℃and 0-1 kbar[J]. The Journal of Chemical Physics, 1975, 62(9): 3496⁃3503. |
| [12] | JORGENSEN W L,JENSON C.Temperature dependence of TIP3P, SPC,and TIP4P water from NPT Monte Carlo simulations: Seeking temperatures of maximum density[J].Journal of Computational Chemistry, 1998, 19(10): 1179⁃1186. |
| [13] | LEE S H. Temperature dependence on structure and self⁃diffusion of water: A molecular dynamics simulation study using SPC/E model[J]. Bulletin of the Korean Chemical Society, 2013, 34(12): 3800⁃3804. |
| [14] | SOPER A K. Orientational correlation function for molecular liquids: The case of liquid water[J]. The Journal of Chemical Physics, 1994, 101(8): 6888⁃6901. |
| [15] | PRICE W S, IDE H, ARATA Y. Self⁃diffusion of supercooled water to 238 K using PGSE NMR diffusion measurements[J]. Journal of Physical Chemistry A, 1999, 103(4): 448⁃450. |
| [16] | MARK P, NILSSON L. Structure and dynamics of the TIP3P, SPC, and SPC/E water models at 298 K[J]. The Journal of Physical Chemistry A, 2001, 105(43): 9954⁃9960. |
| [17] | VAN DER SPOEL D, VAN MAAREN P J, BERENDSEN H J C. A systematic study of water models for molecular simulation: Derivation of water models optimized for use with a reaction field[J]. The Journal of Chemical Physics, 1998, 108(24): 10220⁃10230. |
| [18] | MAHONEY M W, JORGENSEN W L. Diffusion constant of the TIP5P model of liquid water[J].The Journal of Chemical Physics, 2001, 114(1): 363⁃366. |
| [19] | CYGAN R T, LIANG J J, KALINICHEV A G. Molecular models of hydroxide, oxyhydroxide, and clay phases and the development of a general force field[J]. The Journal of Physical Chemistry B, 2004, 108(4): 1255⁃1266. |
| [20] | TEPPEN B J, RASMUSSEN K, BERTSCH P M, et al. Molecular dynamics modeling of clay minerals. 1. Gibbsite, kaolinite, pyrophyllite, and beidellite[J]. The Journal of Physical Chemistry B, 1997, 101(9): 1579⁃1587. |
| [21] | HEINZ H, LIN T J, MISHRA R K, et al. Thermodynamically consistent force fields for the assembly of inorganic, organic, and biological nanostructures: The INTERFACE force field[J]. Langmuir, 2013, 29(6): 1754⁃1765. |
| [22] | MOSAVI A, HEKMATIFAR M, TOGHRAIE D, et al. Atomic interactions between rock substrate and water⁃sand mixture with and without graphene nanosheets via molecular dynamics simulation[J]. Journal of Molecular Liquids, 2021, 323: 114610. |
| [23] | SUN H, REN P, FRIED J R. The COMPASS force field: Parameterization and validation for phosphazenes[J]. Computational and Theoretical Polymer Science, 1998, 8(1⁃2): 229⁃246. |
| [24] | TERSOFF J.New empirical model for the structural properties of silicon[J].Physical Review Letters,1986,56(6):632⁃635. |
| [25] | ABASCAL J L F, SANZ E, GARCÍA FERNÁNDEZ R, et al. A potential model for the study of ices and amorphous water: TIP4P/Ice[J]. Journal of Chemical Physics, 2005, 122(23): 234511. |
| [26] | IZADI S, ANANDAKRISHNAN R, ONUFRIEV A V. Building water models: A different approach[J]. The Journal of Physical Chemistry Letters, 2014, 5(21): 3863⁃3871. |
| [27] | JORGENSEN W L, MAXWELL D S, TIRADO⁃RIVES J. Development and testing of the OPLS all⁃atom force field on conformational energetics and properties of organic liquids[J]. Journal of the American Chemical Society, 1996, 118(45): 11225⁃11236. |
| [28] | MARTIN M G, SIEPMANN J I. Transferable potentials for phase equilibria. 1. United⁃atom description of n⁃alkanes[J]. The Journal of Physical Chemistry B, 1998, 102(14): 2569⁃2577. |
| [29] | WARNE M R, ALLAN N L, COSGROVE T. Computer simulation of water molecules at kaolinite and silica surfaces[J]. Physical Chemistry Chemical Physics, 2000, 2(16): 3663⁃3668. |
| [30] | NOTMAN R, WALSH T R. Molecular dynamics studies of the interactions of water and amino acid analogues with quartz surfaces[J]. Langmuir, 2009, 25(3): 1638⁃1644. |
| [31] | ZHENG Y, ZAOUI A. Wetting and nanodroplet contact angle of the clay 2 ∶ 1 surface: The case of Na⁃montmorillonite (001)[J]. Applied Surface Science, 2017, 396: 717⁃722. |
| [32] | PAPAVASILEIOU K D, MICHALIS V K, PERISTERAS L D, et al. Molecular dynamics simulation of water⁃based fracturing fluids in kaolinite slit pores[J]. The Journal of Physical Chemistry C, 2018, 122(30): 17170⁃17183. |
| [33] | SVOBODA M, MOUČKA F, LÍSAL M. Saturated aqueous NaCl solution and pure water in Na⁃montmorillonite clay at thermodynamic conditions of hydraulic fracturing: Thermodynamics, structure and diffusion from molecular simulations[J]. Journal of Molecular Liquids, 2018, 271: 490⁃500. |
| [34] | ZHANG C,LIU Z,DENG P. Contact angle of soil minerals: A molecular dynamics study[J]. Computers and Geotechnics, 2016, 75: 48⁃56. |
| [35] | CHEN J, MIN F F, LIU L Y, et al. Mechanism research on surface hydration of kaolinite, insights from DFT and MD simulations[J]. Applied Surface Science, 2019, 476: 6⁃15. |
| [36] | MARTINS D M S, MOLINARI M, GONÇALVES M A, et al. Toward modeling clay mineral nanoparticles: The edge surfaces of pyrophyllite and their interaction with water[J]. Journal of Physical Chemistry C, 2014, 118(47): 27308⁃27317. |
| [37] | ZHAO J F, WANG Z H, GUO P, et al. Molecular level investigation of methane and carbon dioxide adsorption on SiO2 surface[J]. Computational Materials Science, 2019, 168: 213⁃220. |
| [38] | YANG L L, ZHOU X, ZHANG K W, et al. Investigation of dynamical properties of methane in slit⁃like quartz pores using molecular simulation[J]. RSC Advances, 2018, 8(59): 33798⁃33816. |
| [39] | ONAWOLE A T, NASSER M S, HUSSEIN I A, et al. Theoretical studies of methane adsorption on silica⁃kaolinite interface for shale reservoir application[J]. Applied Surface Science, 2021, 546: 149164. |
| [40] | CHEN C, SUN J Y, ZHANG Y, et al. Adsorption characteristics of CH4 and CO2 in organic⁃inorganic slit pores[J]. Fuel, 2020, 265: 116969. |
| [41] | HU H X, XING Y F, WANG B, et al. CH4 diffusion in intra⁃pore of montmorillonite: From self⁃diffusion to fick⁃diffusion[J]. Journal of Petroleum Science and Engineering, 2021, 197: 107977. |
| [42] | 李田田. 页岩气在纳米孔隙中吸附扩散行为的模拟研究[D]. 大庆: 东北石油大学, 2023. |
| [43] | 熊健. 页岩对甲烷吸附性能影响因素研究[D]. 成都: 西南石油大学, 2015. |
| [44] | WALSH M R, KOH C A, SLOAN E D, et al. Microsecond simulations of spontaneous methane hydrate nucleation and growth[J]. Science, 2009, 326(5956): 1095⁃1098. |
| [45] | YI L Z, LIANG D Q, ZHOU X B, et al. Molecular dynamics simulations for the growth of CH4⁃CO2 mixed hydrate[J]. Journal of Energy Chemistry, 2014, 23(6): 747⁃754. |
| [46] | 刘杨. 甲烷水合物形成的分子动力学模拟研究[D]. 大连: 大连理工大学, 2022. |
| [47] | 陈勇. sⅡ型水合物成核与晶体生长分子动力学模拟研究[D]. 长春: 吉林大学, 2021. |
| [48] | HE Z J, GUPTA K M, LINGA P, et al. Molecular insights into the nucleation and growth of CH4 and CO2 mixed hydrates from microsecond simulations[J]. Journal of Physical Chemistry C, 2016, 120(44): 25225⁃25236. |
| [49] | ZHANG Z C, GUO G J, WU N Y, et al. Molecular insights into guest and composition dependence of mixed hydrate nucleation[J]. The Journal of Physical Chemistry C, 2020, 124(45): 25078⁃25086. |
| [50] | KVAMME B. Kinetics of hydrate formation from nucleation theory[J]. International Journal of Offshore and Polar Engineering, 2002, 12(4): 256⁃263. |
| [51] | 刘昀晔. 天然气水合物开采微观机制分子模拟研究[D]. 青岛: 中国石油大学(华东), 2019. |
| [52] | XIONG J, LIU K, LIU X J, et al. Molecular simulation of methane adsorption in slit⁃like quartz pores[J]. RSC Advances, 2016, 6(112): 110808⁃110819. |
| [53] | 焦红岩, 董明哲, 刘仲伟, 等. 水环境下甲烷在不同润湿性石英表面吸附行为的分子动力学模拟[J]. 中国石油大学学报(自然科学版), 2014,38(5): 178⁃183. |
| JIAO H Y, DONG M Z, LIU Z W, et al. Molecular dynamics simulation of methane adsorption with presence of water on different wettability quartz surface[J]. Journal of China University of Petroleum (Edition of Natural Science), 2014,38(5): 178⁃183. | |
| [54] | YAN K F, LI X S, CHEN Z Y, et al. Molecular dynamics simulation of the crystal nucleation and growth behavior of methane hydrate in the presence of the surface and nanopores of porous sediment[J]. Langmuir, 2016, 32(31): 7975⁃7984. |
| [55] | 曹品强. 水合物系统力学行为的分子机制研究[D]. 武汉: 中国地质大学, 2020. |
| [56] | LI Y, CHEN M, SONG H Z, et al. Methane hydrate formation in the stacking of kaolinite particles with different surface contacts as nanoreactors: A molecular dynamics simulation study[J]. Applied Clay Science, 2020, 186: 105439. |
| [57] | ZHENG X, WANG L M, LI Z, et al. Molecular insight into the dissociation and re⁃formation of methane hydrate in silica nano⁃slit[J]. Fuel, 2022, 324(Part B): 124718. |
| [58] | MI F Y, HE Z J, JIANG G S, et al. Effects of marine environments on methane hydrate formation in clay nanopores: A molecular dynamics study[J]. Science of the Total Environment, 2022, 852: 158454. |
| [59] | 张颖龙. 天然气水合物开采的微观分子动力学与宏观多物理场耦合研究[D]. 济南: 山东大学, 2023. |
| [60] | MORAWIETZ T,SINGRABER A, DELLAGO C, et al. How van der Waals interactions determine the unique properties of water[J]. Proceedings of the National Academy of Sciences of the United States of America, 2016, 113(30): 8368⁃8373. |
| [61] | HUANG J,HUANG G,LI S B.A machine learning model to classify dynamic processes in liquid water[J].ChemPhysChem, 2022, 23(1): e202100599. |
| [62] | CHEN Z K, BERRENS M L, CHAN K T, et al. Thermodynamics of water and ice from a fast and scalable first⁃principles neuroevolution potential[J]. Journal of Chemical and Engineering Data, 2024, 69(1): 128⁃140. |
| [63] | LUO K,SHEN Y D, LI J, et al. Pressure⁃induced stability of methane hydrate from machine learning force field simulations[J]. The Journal of Physical Chemistry C, 2023, 127(15): 7071⁃7077. |
| [64] | XIONG K B, LI Y, LIN Z Y, et al. Machine learning potential insights into mechanical response and heat transfer in CO₂ hydrate[J]. Advances in Geo⁃Energy Research, 2025, 18(1): 38⁃50. |
| [65] | ZHANG Y,LIU X T,SHI Q,et al.Mechanical properties and cage transformations in CO₂⁃CH₄ heterohydrates:A molecular dynamics and machine learning study[J]. Journal of Physics D: Applied Physics, 2024, 57(46): 465302. |
| [1] | 依力娜尔·吐尔逊, 张广建, 付丽, 范开峰, 王卫强. 含水率对含蜡原油乳状液中蜡分子扩散行为影响的分子动力学模拟[J]. 辽宁石油化工大学学报, 2025, 45(3): 64-71. |
| [2] | 刘文波, 史博文, 戚亚明, 刘晓宇, 王志华. 复杂组分协同作用下的含蜡凝析油管壁结蜡机制[J]. 辽宁石油化工大学学报, 2023, 43(6): 1-10. |
| [3] | 宋志康, 王雷, 黄鑫, 许文俊, 纪国法. 天然气水合物多级降压+注化学剂联合开采实验研究[J]. 辽宁石油化工大学学报, 2022, 42(5): 43-49. |
| [4] | 潘振, 张立贺, 郝江涛, 朱健, 袁松. 油基体系下天然气水合物浆液流动实验研究[J]. 辽宁石油化工大学学报, 2022, 42(5): 62-70. |
| [5] | 陈树军, 裴剑霖, 付越, 张亚雪. 改性MCM⁃41孔内水分子吸附扩散行为的模拟研究[J]. 辽宁石油化工大学学报, 2022, 42(3): 1-7. |
| [6] | 刘志权, 刘德俊, 谢飞. 高黏原油和石英砂复配体系中水合物生成实验研究[J]. 辽宁石油化工大学学报, 2021, 41(6): 30-35. |
| [7] | 朱敏,王艳芳,陈树军,付越,李雪健,刘永强. M⁃MOF⁃74吸附分离天然气中CO2的模拟研究[J]. 辽宁石油化工大学学报, 2019, 39(3): 40-45. |
| [8] | 马贵阳,朱赢. GM-BP模型在NGH生成中的预测研究[J]. 辽宁石油化工大学学报, 2018, 38(06): 93-98. |
| [9] | 宫清君,马贵阳,潘 振,李存磊,兴成敏. 管输过程中天然气水合物沉降规律计算研究[J]. 辽宁石油化工大学学报, 2017, 37(3): 19-23. |
| [10] | 佟 乐,杨双春,王 璐,王丽利,荣继光. 天然气水合物研究现状和前景分析[J]. 辽宁石油化工大学学报, 2017, 37(2): 17-21. |
| 阅读次数 | ||||||
|
全文 |
|
|||||
|
摘要 |
|
|||||