石油化工高等学校学报 ›› 2026, Vol. 39 ›› Issue (1): 43-52.DOI: 10.12422/j.issn.1006-396X.2026.01.006

• 研究与开发 • 上一篇    下一篇

大孔‑介孔等级孔Cu基催化剂对丁二烯选择性加氢性能研究

洪盈1(), 李子丹1, 阮红星1, 王婉仪2, 黄传峰2,3,4(), 苏宝连1,5, 王朝1()   

  1. 1.武汉理工大学 材料复合新技术国家重点实验室, 湖北 武汉 430070
    2.武汉理工大学 化学化工与生命科学学院, 湖北 武汉 430070
    3.西北化工研究院有限公司, 陕西 西安 710065
    4.陕西延长石油(集团)有限责任公司, 陕西 西安 710065
    5.比利时那慕尔大学 无机材料化学实验室, 比利时 那慕尔 B?5000
  • 收稿日期:2025-09-28 修回日期:2025-10-10 出版日期:2026-02-25 发布日期:2026-02-05
  • 通讯作者: 黄传峰,王朝
  • 作者简介:洪盈(2001-),女,硕士研究生,从事多孔催化材料方面的研究;E‑mail:344824@whut.edu.cn
  • 基金资助:
    国家自然科学基金重大项目(22293020);国家自然科学基金重大项目(22293022)

Study on Selective Hydrogenation of Butadiene over Macroporous‑Mesoporous Hierarchical Cu‑Based Catalysts

Ying HONG1(), Zidan LI1, Hongxing RUAN1, Wanyi WANG2, Chuanfeng HUANG2,3,4(), Baolian SU1,5, Zhao WANG1()   

  1. 1.State Key Laboratory of Advanced Technology for Materials Synthesis and Processing,Wuhan University of Technology,Wuhan Hubei 430070,China
    2.College of Chemical Engineering and Chemistry & Life Sciences,Wuhan University of Technology,Wuhan Hubei 430070,China
    3.Northwest Research Institute of Chemical Industry Co. ,Ltd. ,Xi'an Shaanxi 710065,China
    4.Shaanxi Yanchang Petroleum (Group) Co. ,Ltd. ,Xi'an Shaanxi 710065,China
    5.Laboratory of Inorganic Materials Chemistry,University of Namur,Namur B? 5000,Belgium
  • Received:2025-09-28 Revised:2025-10-10 Published:2026-02-25 Online:2026-02-05
  • Contact: Chuanfeng HUANG, Zhao WANG

摘要:

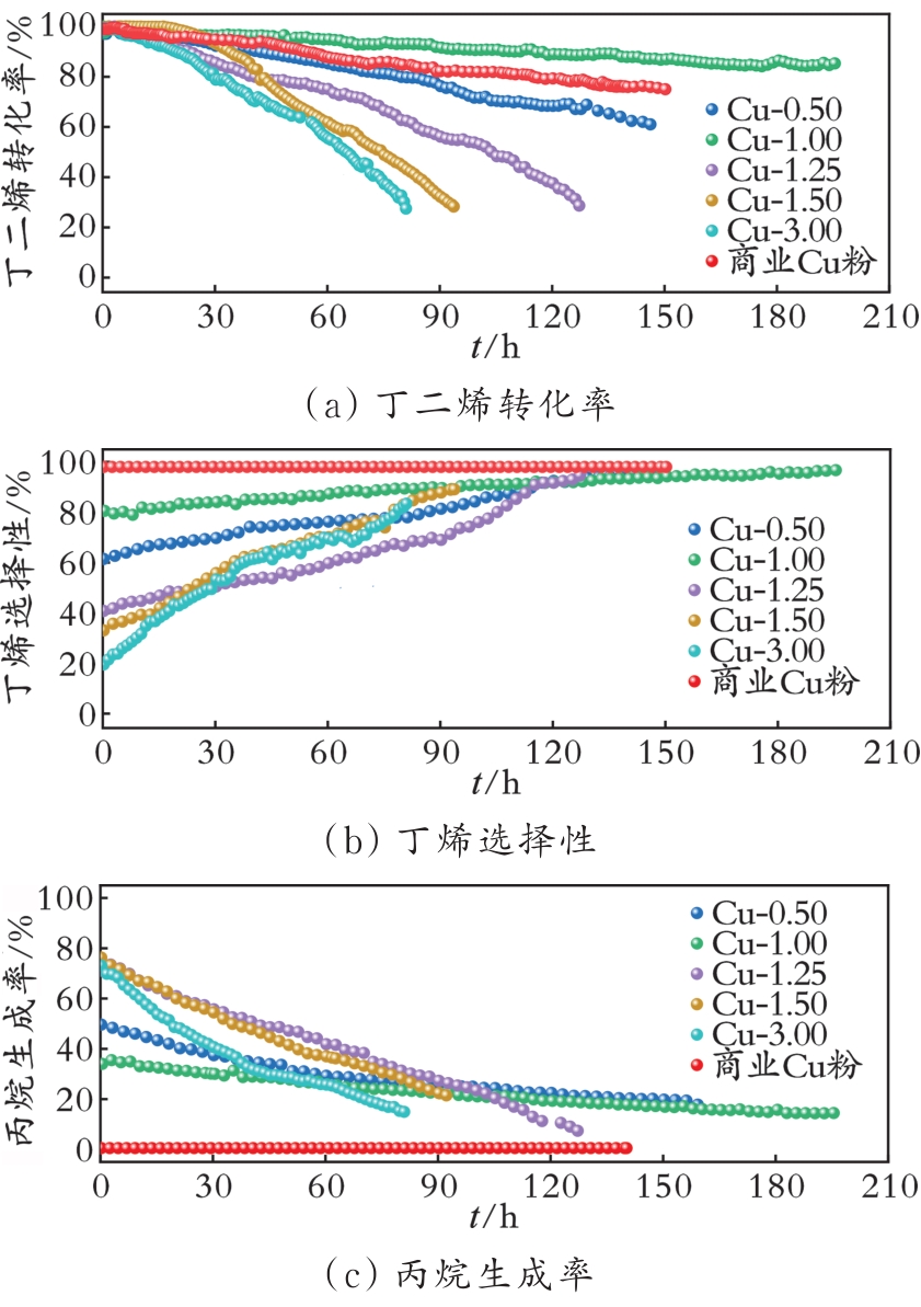
当前商用Pd基催化剂价格昂贵,因此需要开发可替代性廉价金属催化剂。利用选择性刻蚀法,通过改变碱浓度设计合成了等级孔Cu基催化剂;结合X射线衍射、扫描电子显微镜、比表面积测试、压汞测试、N2O化学吸附测试等手段对其进行了表征。在气体空速为30 000 h-1V(氢气)/V(丙烯)/V(丁二烯)/V(氦气)=137∶98∶1∶196的条件下,研究了等级孔Cu基催化剂的加氢性能。结果表明,Cu基催化剂具有大孔(4~5 μm)?介孔(2~25 nm)的等级孔结构;等级孔Cu基催化剂的完全转化温度为105 ℃,远低于商业Cu粉(220 ℃),并且稳定性超180 h;孔结构的引入提高了催化剂活性面积,增加了Cu催化位点数目,并且保留了适当含量的Al物种,有助于维持催化剂的等级孔结构,增强Cu催化位点的抗失活性能。

关键词: 多孔材料, 碱刻蚀, Cu基催化剂, 选择性加氢, 低碳烯烃

Abstract:

The current commercial Pd?based catalysts are expensive, so there is a need to develop alternative low?cost metal catalysts. In this study, hierarchical porous copper?based catalysts were synthesized via selective etching by adjusting alkali concentration, and were characterized using techniques including XRD, SEM, BET, MIP, and N2O chemisorption. The hydrogenation performance of the hierarchical porous Cu?based catalyst was evaluated under conditions of GHSV 30 000 h?1 and V(H?)/V(C?H?)/V(C?H?)/V(He) = 137∶98∶1∶196. Results indicate that the Cu?based catalyst possesses a hierarchical pore structure comprising macropores (4~5 μm) and mesopores (2~25 nm). The full conversion temperature of the hierarchical porous Cu?based catalyst is as low as 105 °C, significantly lower than that of commercial Cu powder (220 °C), while demonstrating stability exceeding 180 hours. The introduction of the hierarchical pore structure increases the active surface area of the catalyst and enhances the number of Cu active sites. Moreover, retaining an appropriate amount of Al species helps maintain the hierarchical

pore structure and improves the resistance of Cu active sites to deactivation.

Key words: Hierarchical porous materials, Alkaline etching, Copper?based catalysts, Selective hydrogenation, Light olefin

中图分类号: 

引用本文

洪盈, 李子丹, 阮红星, 王婉仪, 黄传峰, 苏宝连, 王朝. 大孔‑介孔等级孔Cu基催化剂对丁二烯选择性加氢性能研究[J]. 石油化工高等学校学报, 2026, 39(1): 43-52.

Ying HONG, Zidan LI, Hongxing RUAN, Wanyi WANG, Chuanfeng HUANG, Baolian SU, Zhao WANG. Study on Selective Hydrogenation of Butadiene over Macroporous‑Mesoporous Hierarchical Cu‑Based Catalysts[J]. Journal of Petrochemical Universities, 2026, 39(1): 43-52.

使用本文