Journal of Liaoning Petrochemical University ›› 2025, Vol. 45 ›› Issue (6): 11-18.DOI: 10.12422/j.issn.1672-6952.2025.06.002

• Chemistry and Chemical Engineering • Previous Articles     Next Articles

Optimization of Culture Conditions for Paraffin Degrading Bacterial Communities Based on Response Surface Methodology

Lijian YANG1(), Hui WANG1, Hai WAN2(), Hao PANG3   

  1. 1.College of Petroleum Engineering,Liaoning Petrochemical University,Fushun Liaoning 113001,China
    2.School of Environmental & Safety Engineering,Liaoning Petrochemical University,Fushun Liaoning 113001,China
    3.School of of Petrochemical Engineering & Environment,Zhejiang Ocean University,Zhoushan Zhejiang 316000,China
  • Received:2025-01-07 Revised:2025-04-15 Published:2025-12-25 Online:2025-12-07
  • Contact: Hai WAN

基于响应面法的石蜡降解菌群培养条件优化

杨立鉴1(), 王慧1, 万海2(), 庞浩3   

  1. 1.辽宁石油化工大学 石油天然气工程学院,辽宁 抚顺 113001
    2.辽宁石油化工大学 环境与安全工程学院,辽宁 抚顺 113001
    3.浙江海洋大学 石油化工与环境学院,浙江 舟山 316000
  • 通讯作者: 万海
  • 作者简介:杨立鉴(1999⁃),男,硕士研究生,从事油气储运方面的研究;E⁃mail:2576547703@qq.com
  • 基金资助:
    辽宁省教育厅面上项目(JYTMS20231438);辽宁省联合基金资助项目(U1908203)

Abstract:

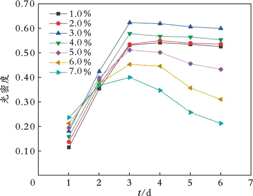
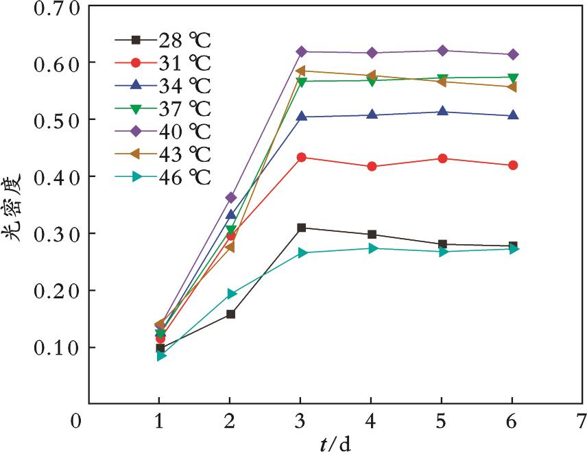
To enhance the flowability of waxy crude oil, seven paraffin?degrading strains were screened using paraffin as the sole carbon source. Their paraffin removal efficiency, emulsification capability, and hydrophobicity were evaluated to identify high?efficiency degraders. Strains with optimal growth characteristics were selected based on growth curves, and microbial consortia were constructed through optimized combinations. Cultivation conditions were further refined using single?factor experiments and response surface methodology (RSM). The orthogonal experimental results indicate that when constructing the compound microbial consortium with Broussonetia papyrifera, the inoculation amounts (volume fractions) of strains H1, H3, and H4 should be 1.0%, 2.0%, and 0.5% respectively, respectively, the paraffin removal rate of the consortium reached 58.7%. The optimized cultivation conditions were determined as follows: temperature at 41.8 ℃, inoculation volume at 3.0%, and shaking speed at 181

r/min. The influence of factors on paraffin removal followed the order: cultivation temperature > inoculation volume > shaking speed. After optimization, the paraffin removal rate of the consortium increased to 62.1%. When the microbial consortium was applied to treat waxy crude oil, the viscosity reduction rate reached 51.5%, significantly improving the fluidity of the crude oil and thereby enhancing pipeline transportation efficiency.

Key words: Waxy crude oil, Orthogonal experiment, Paraffin degrading bacterial community, Response surface optimization

摘要:

为提高含蜡原油的流动性能,以石蜡为唯一碳源筛选7株石蜡降解菌,测定其除蜡性能、乳化性能、疏水性能,从中筛选了高效降解菌;通过生长曲线筛选具有最佳生长特性的菌株,优化组合构建菌群,并利用单因素实验和多因素响应面分析法优化了培养条件。正交实验结果表明,按菌株H1、H3、H4的接种量(体积分数)分别为1.0%、2.0%、0.5%构建复配菌群时,复配菌群除蜡率为58.7%;优化的培养温度为41.8 ℃,接种量为3.0%,摇床转速为181 r/min;各因素的影响权重从大到小的顺序为培养温度>接种量>摇床转速;优化后,菌群除蜡率高达62.1%。用菌群处理含蜡原油,降黏率高达51.5%,可有效提高含蜡原油的流动性,进而提高管道的输送效率。

关键词: 含蜡原油, 正交实验, 石蜡降解菌菌群, 响应面优化

CLC Number: 

Cite this article

Lijian YANG, Hui WANG, Hai WAN, Hao PANG. Optimization of Culture Conditions for Paraffin Degrading Bacterial Communities Based on Response Surface Methodology[J]. Journal of Liaoning Petrochemical University, 2025, 45(6): 11-18.

杨立鉴, 王慧, 万海, 庞浩. 基于响应面法的石蜡降解菌群培养条件优化[J]. 辽宁石油化工大学学报, 2025, 45(6): 11-18.