| [1] |
DISSANAYAKE P D, KIM S, SARKAR B, et al. Effects of microplastics on the terrestrial environment: A critical review[J]. Environmental Research, 2022, 209: 112734.
|
| [2] |
THARANATHAN R N. Biodegradable films and composite coatings: Past, present and future[J]. Trends in Food Science & Technology, 2003, 14(3): 71⁃78.
|
| [3] |
THOMPSON R C, SWAN S H, MOORE C J, et al. Our plastic age[J]. Philosophical Transactions of the Royal Society of London. Series B, Biological Sciences, 2009, 364(1526): 1973⁃1976.
|
| [4] |
苑晓, 宋红兵. “双碳”目标下二氧化碳多相催化转化的机遇与挑战[J]. 石油炼制与化工, 2023, 54(8): 134⁃138.
|
|
YUAN X, SONG H B. Opportunities and challenges of heterogeneous catalytic conversion of carbon dioxide under "double carbon" target[J]. Petroleum Processing and Petrochemicals, 2023, 54(8): 134⁃138.
|
| [5] |
DIGGLE A, WALKER T R. Environmental and economic impacts of mismanaged plastics and measures for mitigation[J]. Environments, 2022, 9(2): 15.
|
| [6] |
杨双春, 邓丹, 王晓珍, 等. 环境友好型塑料的研究进展[J]. 当代化工, 2013, 42(3): 300⁃303.
|
|
YANG S C, DENG D, WANG X Z, et al. Research progress in environment⁃friendly plastic[J]. Contemporary Chemical Industry, 2013, 42(3): 300⁃303.
|
| [7] |
WELIGAMA THUPPAHIGE V T, KARIM M A. A comprehensive review on the properties and functionalities of biodegradable and semibiodegradable food packaging materials[J]. Comprehensive Reviews in Food Science and Food Safety, 2022, 21(1): 689⁃718.
|
| [8] |
ROSENBOOM J G, LANGER R, TRAVERSO G. Bioplastics for a circular economy[J]. Nature Reviews Materials, 2022, 7(2): 117⁃137.
|
| [9] |
FERREIRA F V, CIVIDANES L S, GOUVEIA R F, et al. An overview on properties and applications of poly(butylene adipate‐co‐terephthalate) –PBAT based composites[J]. Polymer Engineering & Science, 2019, 59(S2): 7⁃15.
|
| [10] |
MA F H, WANG B, LENG X F, et al. Biodegradable PBAT/PLA/CaCO3 blowing films with enhanced mechanical and barrier properties: Investigation of size and content of CaCO3 particles[J]. Macromolecular Materials and Engineering, 2022, 307(9): 2200135.
|
| [11] |
LIM L T, AURAS R, RUBINO M. Processing technologies for poly(lactic acid)[J]. Progress in Polymer Science, 2008, 33(8): 820⁃852.
|
| [12] |
ZHANG N W, ZENG C, WANG L, et al. Preparation and properties of biodegradable poly(lactic acid)/poly( butylene adipate⁃co⁃terephthalate) blend with Epoxy⁃Functional styrene acrylic copolymer as reactive agent[J]. Journal of Polymers and the Environment, 2013, 21(1): 286⁃292.
|
| [13] |
夏艺玮, 李诗意, 冯玉林, 等. 高耐热性聚乳酸/木粉复合材料的制备与性能研究[J]. 辽宁石油化工大学学报, 2021, 41(2): 27⁃31.
|
|
XIA Y W, LI S Y, FENG Y L, et al. Preparation and properties of poly(lactic acid)/wood flour composites with high heat resistance[J]. Journal of Liaoning Petrochemical University, 2021, 41(2): 27⁃31.
|
| [14] |
江闻欣, 张广翔, 杨可, 等. 全生物降解高抗冲PLA/PBAT复合材料的制备与性能[J]. 辽宁石油化工大学学报, 2024, 44(5): 31⁃37.
|
|
JIANG W X, ZHANG G X, YANG K, et al. Preparation and properties of fully biodegradable high impact PLA/PBAT composites[J]. Journal of Liaoning Petrochemical University, 2024, 44(5): 31⁃37.
|
| [15] |
李泽天, 张欣华, 韩释剑, 等. 聚丁二酸丁二醇酯的改性研究进展[J]. 石油化工高等学校学报, 2016, 29(6): 1⁃5.
|
|
LI Z T, ZHANG X H, HAN S J, et al. Research progress on the modification of poly (Butylene Succinate)[J]. Journal of Petrochemical Universities, 2016, 29(6): 1⁃5.
|
| [16] |
刘世恩, 闫栋栋. 淀粉/聚乙烯聚合物薄膜的制备及其生物降解性研究[J]. 塑料科技, 2023, 51(6): 49⁃52.
|
|
LIU S E, YAN D D. Preparation and biodegradability of starch/polyethylene polymer film[J]. Plastics Science and Technology, 2023, 51(6): 49⁃52.
|
| [17] |
LIU X C, MO Z X, CUI L N, et al. Effect of biaxial stretching on the microstructure evolution, optical, mechanical and oxygen barrier properties of biodegradable poly(lactic acid) (PLA)/poly(butylene adipate⁃co⁃terephthalate)(PBAT)films[J]. International Journal of Biological Macromolecules, 2023, 253: 126976.
|
| [18] |
KIM J, BANG J, PARK S, et al. Enhanced barrier properties of biodegradable PBAT/acetylated lignin films[J]. Sustainable Materials and Technologies 2023, 37: e00686.
|
| [19] |
SONG L X, CHI W H, ZHANG Q, et al. Improvement of properties of polylactic acid/polypropylene carbonate blends using epoxy soybean oil as an efficient compatibilizer[J]. International Journal of Biological Macromolecules, 2023, 253: 127407.
|
| [20] |
LUDWICZAK J, FRĄCKOWIAK S, LELUK K. Study of thermal, mechanical and barrier properties of biodegradable PLA/PBAT films with highly oriented MMT[J]. Materials, 2021, 14(23): 7189.
|
| [21] |
ZHANG Y, JIA S L, PAN H W, et al. Effect of glycidyl methacrylate⁃grafted poly(ethylene octene) on the compatibility in PLA/PBAT blends and films[J]. Korean Journal of Chemical Engineering, 2021, 38(8): 1746⁃1755.
|
| [22] |
GIRDTHEP S, WORAJITTIPHON P, LEEJARKPAI T, et al. Effect of silver⁃loaded kaolinite on real ageing, hydrolytic degradation, and biodegradation of composite blown films based on poly(lactic acid) and poly( butylene adipate⁃co⁃terephthalate)[J]. European Polymer Journal, 2016, 82: 244⁃259.
|
| [23] |
THIYAGU T T, J V S P K, P G, et al. Effect of cashew shell biomass synthesized cardanol oil green compatibilizer on flexibility, barrier, thermal, and wettability of PLA/PBAT biocomposite films[J]. Biomass Conversion and Biorefinery, 2023, 13(13): 11841⁃11851.
|
| [24] |
TEAMSINSUNGVON A, RUKSAKULPIWAT Y, JARUKUMJORN K. Preparation and characterization of poly(lactic acid)/poly(butylene adipate⁃co⁃terepthalate) blends and their composite[J]. Polymer⁃Plastics Technology and Engineering, 2013, 52(13): 1362⁃1367.
|
| [25] |
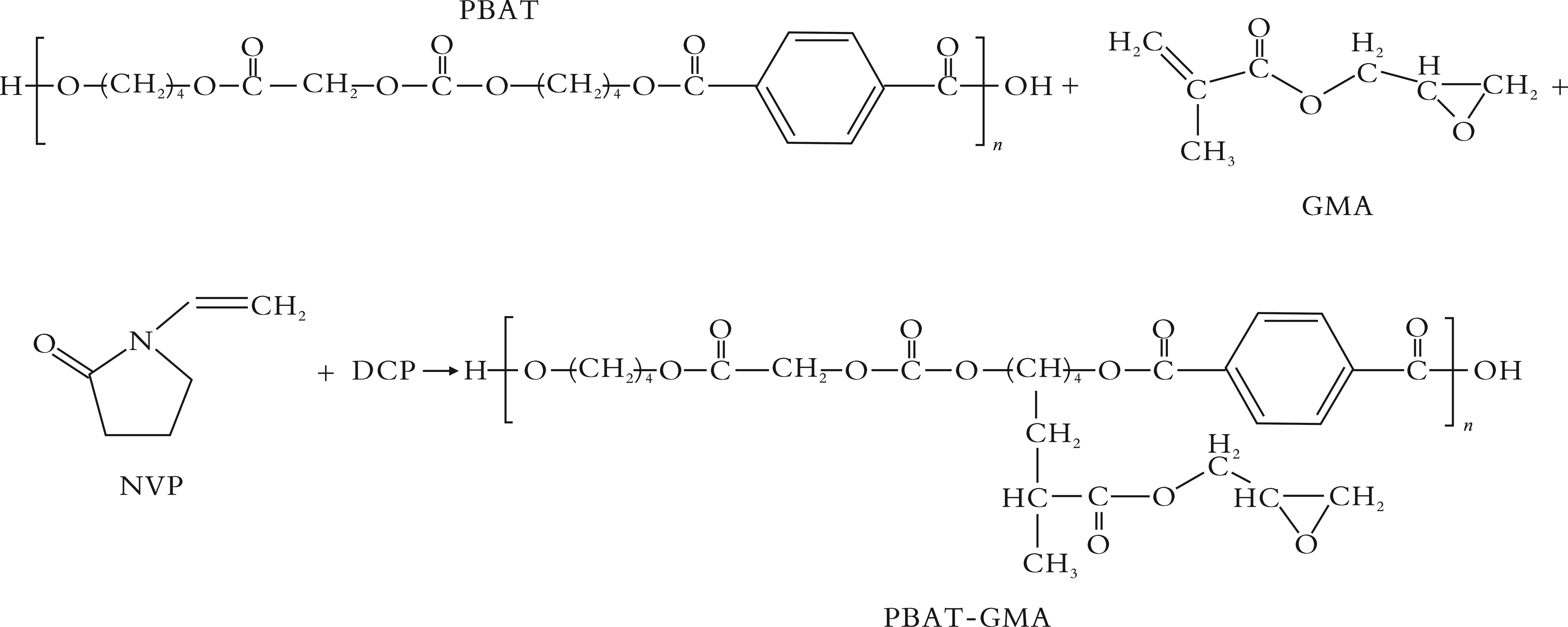
李跃文. GMA对高分子共混体系的反应增容[J]. 应用化工, 2011, 40(5): 880⁃884.
|
|
LI Y W. Reactive compatibilization of GMA on polymer blends[J]. Applied Chemical Industry, 2011, 40(5): 880⁃884.
|
| [26] |
李博, 李娟, 周万维, 等. 碳酸钙对PBAT/PLA复合材料性能的影响[J]. 工程塑料应用, 2022, 50(3): 136⁃140.
|
|
LI B, LI J, ZHOU W W, et al. Effect of calcium carbonate on properties of PBAT/PLA composites[J]. Engineering Plastics Application, 2022, 50(3): 136⁃140.
|
| [27] |
刘念平. 生物降解TPS/PBAT/Talc复合材料及薄膜的制备与性能研究[J]. 中国新技术新产品, 2023(7): 62⁃64.
|
|
LIU N P. Preparation and properties of biodegradable TPS/PBAT/Talc composites and films[J]. New Technologies and New Products of China, 2023(7): 62⁃64.
|
| [28] |
张广翔, 杨可, 杨佳怡, 等. 官能化PBAT的制备及对PBAT/TPS/PLA共混物的增容作用[J]. 高等学校化学学报, 2024, 45(12): 152⁃161.
|
|
ZHANG G X, YANG K, YANG J Y, et al. Functionalization of PBAT and its compatibilizing effect on PBAT/TPS/PLA blends[J]. Chemical Journal of Chinese Universities, 2024, 45(12): 152⁃161.
|
| [29] |
SANGRONIZ A, SANGRONIZ L, GONZALEZ A, et al. Improving the barrier properties of a biodegradable polyester for packaging applications[J]. European Polymer Journal, 2019, 115: 76⁃85.
|
| [30] |
PODZOROVA M V, TERTYSHNAYA Y V. Degradation of polylactide⁃polyethylene binary blends in soil[J]. Russian Journal of Applied Chemistry, 2019, 92(6): 767⁃774.
|
| [31] |
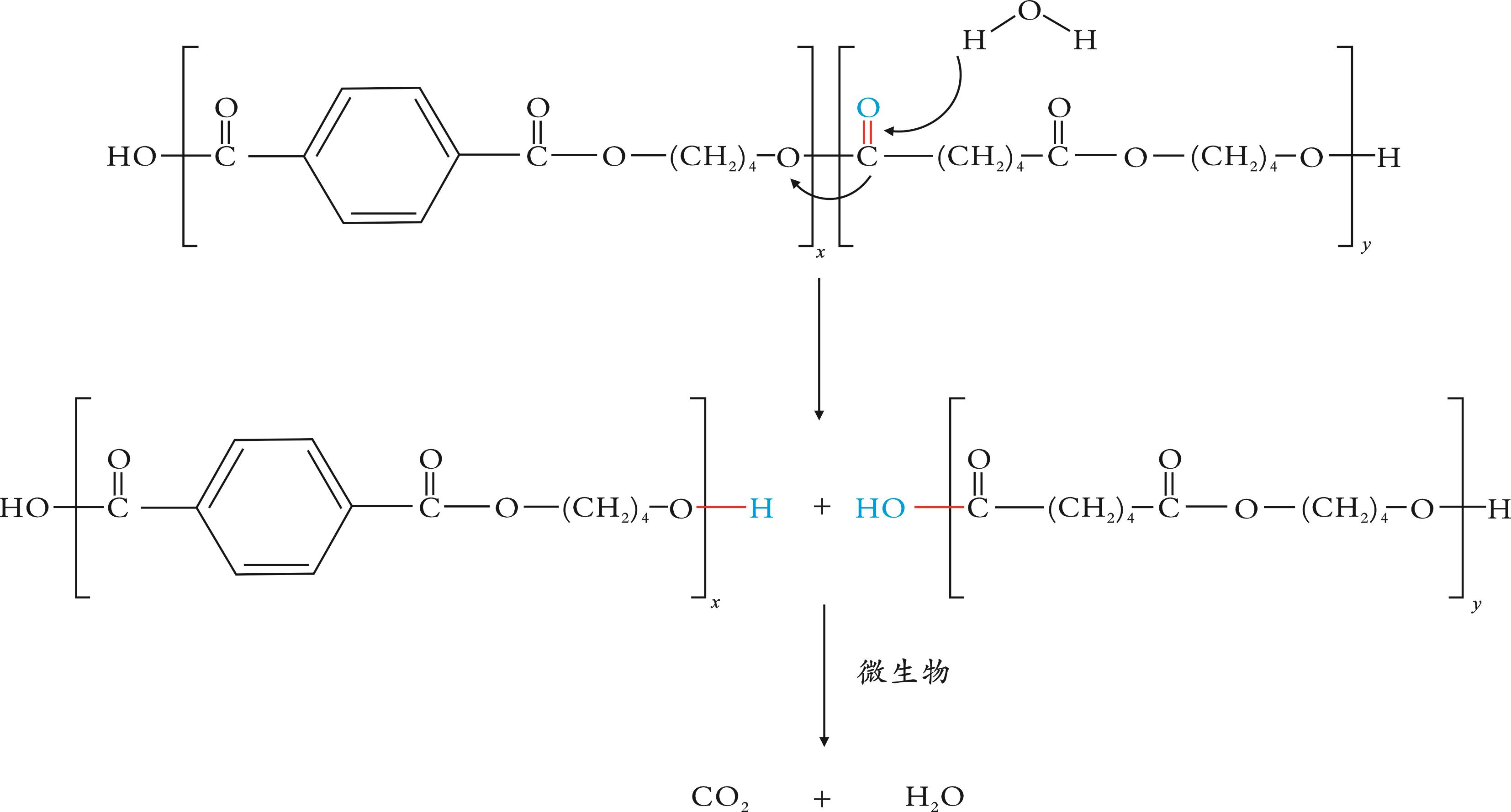
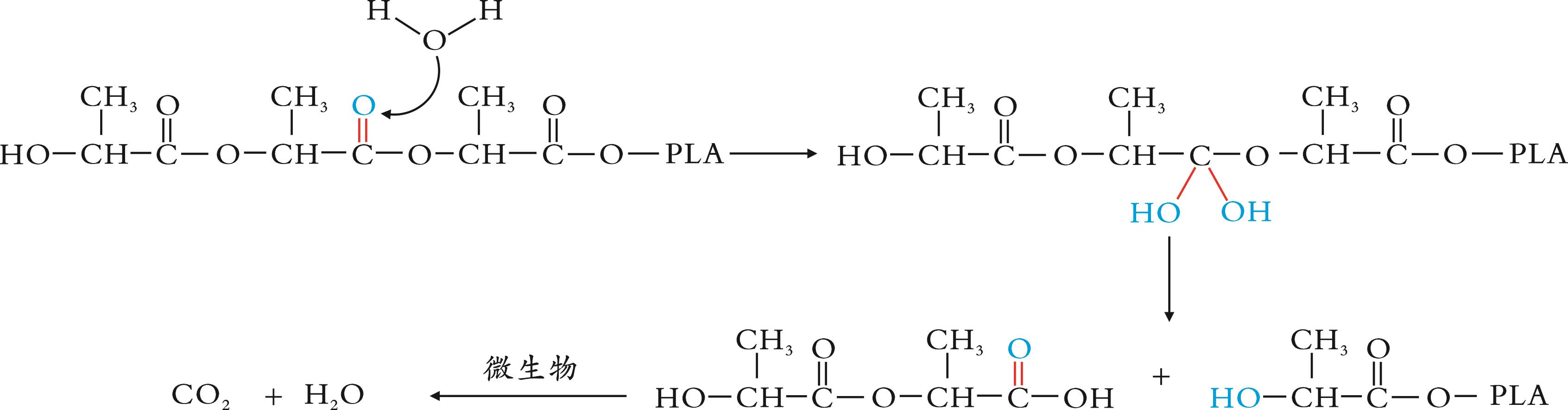
KIJCHAVENGKUL T, AURAS R, RUBINO M, et al. Biodegradation and hydrolysis rate of aliphatic aromatic polyester[J]. Polymer Degradation and Stability, 2010, 95(12): 2641⁃2647.
|
| [32] |
WENG Y X, JIN Y J, MENG Q Y, et al. Biodegradation behavior of poly(butylene adipate⁃co⁃terephthalate) (PBAT), poly(lactic acid)(PLA), and their blend under soil conditions[J]. Polymer Testing, 2013, 32(5): 918⁃926.
|