辽宁石油化工大学学报 ›› 2026, Vol. 46 ›› Issue (1): 64-70.DOI: 10.12422/j.issn.1672-6952.2026.01.008

• 机械工程 • 上一篇    下一篇

新型四振子手性声子晶体的低频带隙研究

任世强(), 玉姣()   

  1. 辽宁石油化工大学 理学院,辽宁 抚顺 113001
  • 收稿日期:2025-04-02 修回日期:2025-05-20 出版日期:2026-02-25 发布日期:2026-02-05
  • 通讯作者: 玉姣
  • 作者简介:任世强(1998-),男,硕士研究生,从事声子晶体方面的研究;E⁃mail:cnanhuayikai@163.com
  • 基金资助:
    国家自然科学基金项目(12074160);辽宁省自然科学基金项目(2024?MS?181);辽宁省教育厅基本科研项目(LJ212410148042)

Study on the Low⁃Frequency Band Gap of Novel Four⁃Oscillator Chiral Phononic Crystals

Shiqiang REN(), Jiao YU()   

  1. College of Sciences,Liaoning Petrochemical University,Fushun Liaoning 113001,China
  • Received:2025-04-02 Revised:2025-05-20 Published:2026-02-25 Online:2026-02-05
  • Contact: Jiao YU

摘要:

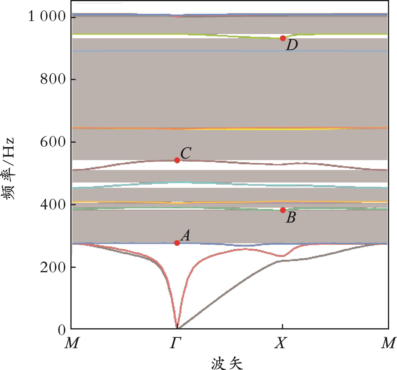
以实现隔声、减震在工程中的应用为目标,结合简单、美观的结构要求,设计了一款基于螺旋散射体分支振子的新型四振子手性声子晶体,通过打破传统声子晶体的对称性实现了手性特性。通过有限元仿真,对原胞进行了带隙分析;采用有限周期的排列,对无限周期的带隙范围进行了验证;改变散射体的材料参数与振子数量,研究了其对带隙范围的影响。结果表明,该手性声子晶体结构在1 000 Hz以下具有高达642.12 Hz的综合带隙宽度,表现出了出色的低频隔声性能。

关键词: 手性声子晶体, 带隙范围, 低频隔声, 有限元仿真

Abstract:

Aiming to achieve noise isolation and vibration damping in engineering applications with simple and aesthetic structures, this paper designs a novel four?oscillator chiral phononic crystal.By incorporating helical scatterer branches as oscillators, the design breaks the inherent symmetry of conventional phononic crystals.Finite element simulation is first used to analyze the bandgap of the unit cell, followed by validation of the infinite periodic bandgap range through finite periodic arrangement. Further investigation into the effects of scatterer material parameters and the number of oscillators on the bandgap characteristics was conducted through parametric analysis. The results indicate that the chiral phononic crystal structure exhibits a total band gap widths of up to 642.12 Hz below 1 000 Hz, demonstrating excellent performance in low frequency noise isolation.

Key words: Chiral phononic crystal, Bandgap range, Low?frequency noise isolation, Finite element simulation

中图分类号: 

引用本文

任世强, 玉姣. 新型四振子手性声子晶体的低频带隙研究[J]. 辽宁石油化工大学学报, 2026, 46(1): 64-70.

Shiqiang REN, Jiao YU. Study on the Low⁃Frequency Band Gap of Novel Four⁃Oscillator Chiral Phononic Crystals[J]. Journal of Liaoning Petrochemical University, 2026, 46(1): 64-70.

使用本文

0
    /   /   推荐

导出引用管理器 EndNote|Ris|BibTeX

链接本文: https://journal.lnpu.edu.cn/CN/10.12422/j.issn.1672-6952.2026.01.008

               https://journal.lnpu.edu.cn/CN/Y2026/V46/I1/64