辽宁石油化工大学学报 ›› 2026, Vol. 46 ›› Issue (1): 37-44.DOI: 10.12422/j.issn.1672-6952.2026.01.005

• 石油与天然气工程 • 上一篇    下一篇

基于可视化模型的缝洞型油藏高含沥青质稠油流动及水驱特征

刘磊1,2(), 李晶辉1,2, 刘玉国1,2, 曹畅1,2, 闫永赞1,2, 丁红雨3, 徐龙3()   

  1. 1.中国石化缝洞型油藏提高采收率重点实验室,新疆 乌鲁木齐 830011
    2.中国石油化工股份有限公司 西北油田 分公司,新疆 乌鲁木齐 830011
    3.中国石油大学(华东) 石油工程学院,山东 青岛 266580
  • 收稿日期:2025-04-03 修回日期:2025-04-22 出版日期:2026-02-25 发布日期:2026-02-05
  • 通讯作者: 徐龙
  • 作者简介:刘磊(1984-),男,硕士,副研究员,从事采油气工艺及稠油开采方面的研究;E⁃mail:liulei001.xbsj@sinopec.com
  • 基金资助:
    国家自然科学基金项目(52004322)

Flow and Waterflooding Characteristics of High Asphaltene Heavy Oil in Fractured⁃Vuggy Reservoirs Based on Visualization Model

Lei LIU1,2(), Jinghui LI1,2, Yuguo LIU1,2, Chang CAO1,2, Yongzan YAN1,2, Hongyu DING3, Long XU3()   

  1. 1.Sinopec Key Laboratory of Enhanced Oil Recovery for Fractured Vuggy Reservoirs,Urumqi Xinjiang 830011,China
    2.Sinopec Northwest Company of China Petroleum and Chemical Corporation,Urumqi Xinjiang 830011,China
    3.School of Petroleum Engineering,China University of Petroleum(East China),Qingdao Shandong 266580,China
  • Received:2025-04-03 Revised:2025-04-22 Published:2026-02-25 Online:2026-02-05
  • Contact: Long XU

摘要:

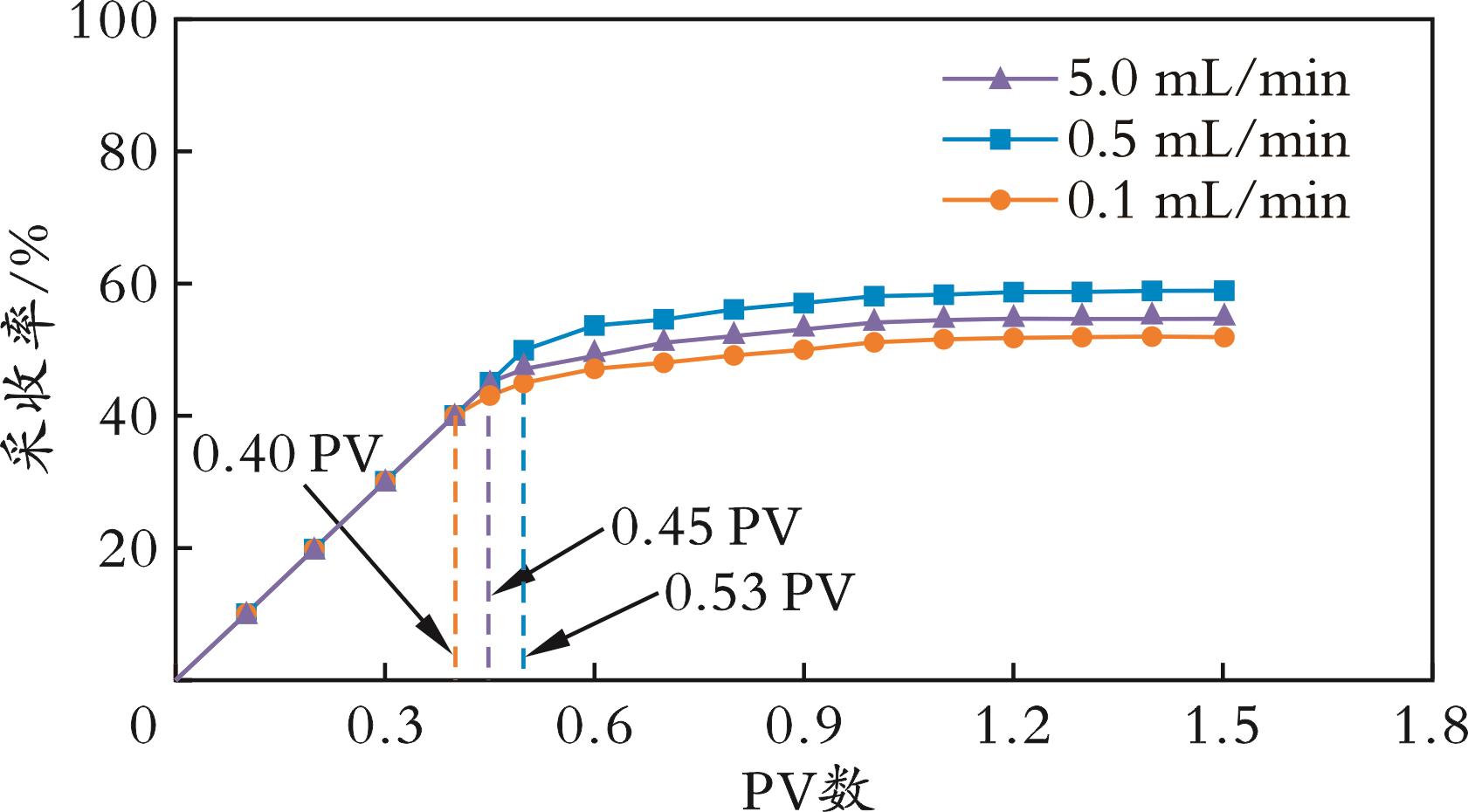
缝洞型油藏非均质性强、流体流态复杂,高含沥青质稠油流动特征及水驱规律不明确,给油田注水开发造成极大的困难。基于可视化缝洞模型,开展不同黏度稠油流动及水驱效果实验,建立了含沥青质稠油流动阻力系数与黏度及流量的关系;结合图像识别实现不同孔洞含油饱和度动态量化,明确了高含沥青质稠油在缝洞中的水驱特征及稠油黏度、裂缝参数和注水速度对驱油效果的影响。结果表明,当稠油黏度从59 mPa·s(中黏)增加到1 090 mPa·s(特黏)时,缝洞中稠油拟启动压力梯度增大了1个数量级,流动阻力系数增加了3倍;水驱采收率降低了9.6个百分点;当稠油黏度增大时,水驱波及孔洞数量减少,剩余阁楼油、局部高部位油和壁面油增加;裂缝宽度、长度及空间位置分布对水驱稠油液流走向的影响较大,且该作用强于油水重力分异作用;注水初期适当增大注水速度,水驱在小尺度裂缝宽度中的波及、突破能力增加。

关键词: 缝洞储层, 高含沥青质稠油, 流动规律, 水驱特征, 可视化, 稠油黏度

Abstract:

The heterogeneity of the Tahe fractured?vuggy reservoir is strong, and the fluid flow state is complex. The flow and waterflooding mechanisms of high?asphaltene heavy oil remain poorly understood, posing significant challenges to the effective implementation of water injection strategies. Based on a visualization model of fractured?vuggy reservoirs, experimental investigations were carried out on the flow and displacement behavior of heavy oil with different viscosities. The relationship between the flow resistance coefficient of asphaltene containing heavy oil and the viscosity and flow rate was established, and dynamic quantification of oil saturation in different vuggys was achieved through image recognition. The characteristics of waterflooding of high asphaltene heavy oil in fractured?vuggy reservoirs and the influence mechanisms of heavy oil viscosity, fractures, and water injection rate were clarified. The results indicate that the viscosity of heavy oil increased from 59 mPa?s (medium viscosity) to 1 090 mPa?s (extra viscosity), the apparent threshold pressure gradient of heavy oil in the fracture cavity increased by one order of magnitude, the flow resistance coefficient increased by three times, and the waterflooding recovery rate decreased by 9.6 percentage points. Increased heavy oil viscosity also reduced the number of vugs affected by waterflooding, thereby increasing the remaining oil volume in attic configurations, localized high points, and along cavity walls. The scale, length, and spatial distribution of crack width have a greater impact on the flow direction of waterflooding heavy oil, and are stronger than the gravity differentiation of oil and water. Appropriately increasing the water injection rate enhances the ability of water flooding to spread and break through small?scale fractures.

Key words: Fracture?vuggy reservoir, High asphaltene heavy oil, Flow law, Waterflooding characteristics, Visualization, Viscosity of heavy oil

中图分类号: 

引用本文

刘磊, 李晶辉, 刘玉国, 曹畅, 闫永赞, 丁红雨, 徐龙. 基于可视化模型的缝洞型油藏高含沥青质稠油流动及水驱特征[J]. 辽宁石油化工大学学报, 2026, 46(1): 37-44.

Lei LIU, Jinghui LI, Yuguo LIU, Chang CAO, Yongzan YAN, Hongyu DING, Long XU. Flow and Waterflooding Characteristics of High Asphaltene Heavy Oil in Fractured⁃Vuggy Reservoirs Based on Visualization Model[J]. Journal of Liaoning Petrochemical University, 2026, 46(1): 37-44.

使用本文

0
    /   /   推荐

导出引用管理器 EndNote|Ris|BibTeX

链接本文: https://journal.lnpu.edu.cn/CN/10.12422/j.issn.1672-6952.2026.01.005

               https://journal.lnpu.edu.cn/CN/Y2026/V46/I1/37